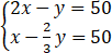
《九章算术》卷八方程第十题原文为:“今有甲、乙二人持钱不知其数.甲得乙半而钱五十,乙得甲太半而亦钱五十.问:甲、乙持钱各几何?"题目大意是:甲、乙两人各带了若干钱.如果甲得到乙所有钱的一半,那么甲共有钱50;如果乙得到甲所有钱的2/3,那么乙也共有钱50.问:甲、乙两人各带了多少钱?设甲、乙两人持钱的数量分别为x,y,则可列方程组为【】
A、
B、
C、
D、
《九章算术》卷八方程第十题原文为:“今有甲、乙二人持钱不知其数.甲得乙半而钱五十,乙得甲太半而亦钱五十.问:甲、乙持钱各几何?"题目大意是:甲、乙两人各带了若干钱.如果甲得到乙所有钱的一半,那么甲共有钱50;如果乙得到甲所有钱的2/3,那么乙也共有钱50.问:甲、乙两人各带了多少钱?设甲、乙两人持钱的数量分别为x,y,则可列方程组为【】
A、
B、
C、
D、
A
分式方程(2-x)/(x-3)+1/(3-x)=1的解为【 】
菲尔兹奖是数学领域的一项国际大奖,常被视为数学界的诺贝尔奖,每四年颁发一次,最近一届获奖者获奖时的年龄(单位:岁)分别为:30,40,34,36,则这组数据的中位数是【】
如图,四边形ABCD是菱形,点E,F分别在BC,DC边上,添加以下条件不能判定△ABE≌△ADF的是【 】
在平面直角坐标系xOy中,点M(-4,2)关于x轴对称的点的坐标是【 】
2021年5月15日7时18分,天问一号探测器成功着陆距离地球逾3亿千米的神秘火星,在火星上首次留下中国人的印迹,这是我国航天事业发展的又一具有里程碑意义的进展.将数据3亿用科学记数法表示为【 】